Ένα νέο τεστ IQ κυκλοφορεί στα social media και μπερδεύει τους χρήστες του ίντερνετ. Μπορείτε να βρείτε την σωστή απάντηση σε 20 δευτερόλεπτα;
Το συγκεκριμένο τεστ είναι ένα μαθηματικό παζλ. Πρόκειται για μία δυσκολότερη εκδοχή των γρίφων και των παζλ. Για να βρείτε στην σωστή απάντηση χρειάζεται διαφορετική και πλευρική σκέψη, και ανάλυση των δεδομένων. Τα μαθηματικά παζλ είναι διασκεδαστικός και εποικοδομητικός τρόπος να περνάτε την ώρα σας.
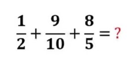
Εάν λύσετε το συγκεκριμένο τεστ IQ σε λιγότερο από 20 δευτερόλεπτα τότε έχετε υψηλό IQ. Το παζλ σας ζητάει να λύσετε μία πρόσθεση κλασμάτων.
Τεστ IQ: Μπορείτε να βρείτε ποιος αριθμός λείπει σε 20 δευτερόλεπτα;
To τεστ παρουσιάζει μία πρόσθεση τριών κλάσματα που έχουν διαφορετικό παρονομαστή. Μπορείτε να βρείτε την σωστή απάντηση;
- 1/2 + 9/10 + 8/5 = ;
Η λύση στο τεστ IQ:
Για να βρείτε την σωστή απάντηση πρέπει να κάνετε όλα τα κλάσματα να έχουν κοινό παρονομαστή. Ο κοινός παρονομαστής για τους αριθμούς 2, 5, 10 είναι το 10.
Οι πράξεις γίνονται:
- 1/2 + 9/10 + 8/5 = 5/10 + 9/10 + 16/10 = 30/10 = 3
Άρα η σωστή απάντηση είναι το 3.
Πηγή: FOXreport.gr
Πώς να αφαιρέσετε τα προσωπικά σας δεδομένα από το ίντερνετ και γιατί είναι σημαντικό να το κάνετε;
