Μεγάλη είναι πλέον η πιθανότητα να επιβληθεί ένα χρόνο νωρίτερα, (από την 1 Ιανουαρίου 2019 αντί της 1 Ιανουαρίου 2020), η μείωση της ετήσιας έκπτωσης φόρου εισοδήματος κατά 650 ευρώ η οποία προβλέπεται με το τρίτο μνημόνιο για εκατομμύρια μισθωτούς, συνταξιούχους και κατ’ επάγγελμα αγρότες.
Η μείωση αυτή ισοδυναμεί με “κούρεμα” των αφορολογήτων ορίων εισοδήματος που ισχύουν γι’ αυτές τις κατηγορίες κατά ποσοστά από 30,9% έως 34,2%.
Μετά την προαναγγελία του ενδεχομένου αυτού από τους εμπειρογνώμονες του Διεθνούς Νομισματικού Ταμείου τον περασμένο Ιούλιο, στην έκθεσή τους για την πορεία υλοποίησης του Μνημονίου ΙΙΙ, κυβέρνηση, ΔΝΤ και ευρωπαϊκοί “θεσμοί” συζητούν πλέον ανοιχτά το ενδεχόμενο περικοπής των αφορολογήτων ορίων ένα χρόνο νωρίτερα.
Ήδη δε στο κείμενο του νέου επικαιροποιημένου Μνημονίου ΙΙΙ, το οποίο οι τρεις πλευρές οριστικοποίησαν πρόσφατα, αποτυπώνεται μια κατ’ αρχήν συμφωνία για ψήφιση από την ελληνική Βουλή τον Μάιο του 2018 νομοθετικής ρύθμισης που θα προβλέπει την εφαρμογή του επαχθέστατου αυτού φοροεισπρακτικού μέτρου από την 1η-1-2019, σε περίπτωση κατά την οποία το ΔΝΤ και οι ευρωπαϊκοί “θεσμοί” έχουν κρίνει έως τότε ότι ο κρατικός προϋπολογισμός του 2018 δεν πρόκειται να εκτελεστεί με επιτυχία ως προς τον βασικό του στόχο για πρωτογενές πλεόνασμα 3,5% του ΑΕΠ.
Δεδομένου δε ότι ο στόχος για πρωτογενές πλεόνασμα 3,5% του ΑΕΠ το 2018 θεωρείται μη εύκολα επιτεύξιμος, ο εκτροχιασμός του κρατικού προϋπολογισμού του 2018 ήδη από τους πρώτους μήνες του έτους αυτού θεωρείται κάτι σχεδόν βέβαιο. Συνεπώς, η μείωση των αφορολογήτων ορίων των μισθωτών, των συνταξιούχων και των κατ’ επάγγελμα αγροτών ένα χρόνο νωρίτερα είναι πλέον πολύ πιθανή.
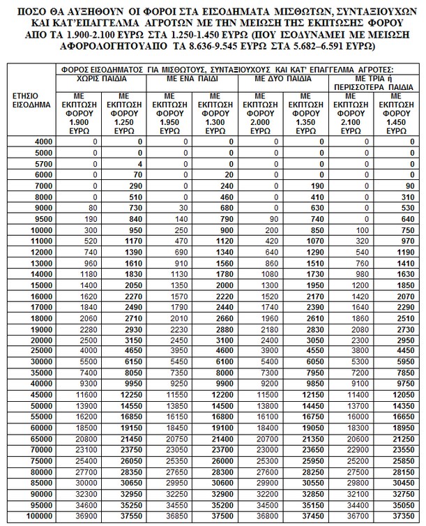
Η μείωση της έκπτωσης φόρου εισοδήματος των 1.900-2.100 ευρώ κατά 650 ευρώ θα πλήξει περισσότερους από 5,8 εκατομμύρια μισθωτούς, συνταξιούχους και κατ’ επάγγελμα αγρότες.
Η περικοπή της έκπτωσης κατά 650 ευρώ ισοδυναμεί με μείωση του ετησίου αφορολογήτου ορίου εισοδήματος κατά 2.954 ευρώ ή κατά 30,9% έως 34,2%, από τα επίπεδα των 8.636-9.545 ευρώ στα επίπεδα των 5.682-6.591 ευρώ. Από τη μείωση αυτή θα προκύψουν για πρώτη φορά επιβαρύνσεις ακόμη και για όσους εργαζόμενους του ιδιωτικού τομέα αμείβονται με λίγο περισσότερα από 405 ευρώ το μήνα, καθώς επίσης και για τους δημοσίους υπαλλήλους και τους συνταξιούχους με αποδοχές λίγο μεγαλύτερες από 473 ευρώ το μήνα!
Ωστόσο, ακόμη και μισθωτοί και συνταξιούχοι που λαμβάνουν μηνιαία εισοδήματα χαμηλότερα από τα παραπάνω όρια, δηλαδή ζουν με ετήσια εισοδήματα χαμηλότερα από τα νέα μειωμένα αφορολόγητα όρια των 5.682-6.591 ευρώ, θα κληθούν κι αυτοί να πληρώσουν υπέρογκους φόρους εισοδήματος, καθώς η Ανεξάρτητη Αρχή Δημοσίων Εσόδων θα προσδιορίσει τα τελικά φορολογητέα εισοδήματά τους σε επίπεδα πολύ υψηλότερα των νέων χαμηλών αυτών αφορολογήτων ποσών, εφαρμόζοντας τα τεκμήρια διαβίωσης για τις κατοικίες στις οποίες διαμένουν και τα ΙΧ αυτοκίνητα που τυχόν χρησιμοποιούν. Κάτι αντίστοιχο θα συμβεί και στους κατά κύριο επάγγελμα αγρότες, οι περισσότεροι από τους οποίους δηλώνουν ετήσια εισοδήματα κάτω από τα επίπεδα των νέων μειωμένων αφορολογήτων ορίων, όμως τα τεκμήρια διαβίωσης για τα σπίτια και τα ΙΧ αυτοκίνητά τους θα ανεβάσουν τα τελικά φορολογητέα εισοδήματά τους σε επίπεδα πολύ πιο υψηλά.
Ας δούμε όμως πιο αναλυτικά, τί ακριβώς σημαίνει η μείωση της ετήσιας έκπτωσης φόρου των μισθωτών, των συνταξιούχων και των κατ’ επάγγελμα αγροτών κατά 650 ευρώ:
1) Η σημερινή έκπτωση φόρου των 1.900 ευρώ για τους μισθωτούς, τους συνταξιούχους και τους κατ’ επάγγελμα αγρότες που δεν βαρύνονται με ανήλικα ή ενήλικα εξαρτώμενα τέκνα (σπουδάζοντα, άνεργα κ.λπ.) θα μειωθεί στα 1.250 ευρώ. Η μείωση της έκπτωσης φόρου κατά 650 ευρώ με δεδομένο ότι θα συνδυαστεί με διατήρηση του κατώτατου συντελεστή φορολόγησης στο 22% θα οδηγήσει σε μείωση του ισχύοντος για τους φορολογούμενους αυτούς αφορολογήτου ορίου από τα 8.636 ευρώ (1.900 ευρώ/ 22%) στα 5.681 ευρώ (1.250 ευρώ / 22%).
2) Η έκπτωση φόρου των 1.950 ευρώ η οποία ισχύει σήμερα για τους μισθωτούς, τους συνταξιούχους και τους κατ’ επάγγελμα αγρότες που βαρύνονται με ένα ανήλικο ή ενήλικο εξαρτώμενο τέκνο θα μειωθεί στα 1.300 ευρώ. Η μείωση αυτή, θα οδηγήσει σε μείωση του ισχύοντος για τους φορολογούμενους αυτούς αφορολογήτου ορίου από τα 8.863,63 ευρώ (1.950 ευρώ / 22%) στα 5.909 ευρώ (1.300 ευρώ / 22%).
3) Η έκπτωση φόρου των 2.000 ευρώ, που ισχύει σήμερα για τους μισθωτούς, τους συνταξιούχους και τους κατ’ επάγγελμα αγρότες που βαρύνονται με δύο ανήλικα ή ενήλικα εξαρτώμενα τέκνα θα μειωθεί στα 1.350 ευρώ. Η μείωση αυτή, θα οδηγήσει σε περιορισμό του ισχύοντος για τους φορολογούμενους αυτούς αφορολογήτου ορίου από τα 9.091 ευρώ (2.000 ευρώ / 22%) στα 6.136,36 ευρώ (1.350 ευρώ / 22%).
4) Η έκπτωση φόρου των 2.100 ευρώ, που ισχύει σήμερα για τους μισθωτούς, τους συνταξιούχους και τους κατ’ επάγγελμα αγρότες που βαρύνονται με τρία ή περισσότερα ανήλικα ή ενήλικα εξαρτώμενα τέκνα θα μειωθεί στα 1.450 ευρώ. Η μείωση αυτή, θα οδηγήσει σε περιορισμό του ισχύοντος για τους φορολογούμενους αυτούς αφορολογήτου ορίου από τα 9.545 ευρώ (2.100 ευρώ / 22%) στα 6.591 ευρώ (1.450 ευρώ / 22%).
Από τις παραπάνω μειώσεις στα αφορολόγητα όρια:
* Περίπου 4,3 εκατομμύρια μισθωτοί, συνταξιούχοι και κατ’ επάγγελμα αγρότες με ετήσια εισοδήματα μεγαλύτερα των 5.700 ευρώ θα υποστούν επιπλέον φορολογικές επιβαρύνσεις έως και 650 ευρώ έκαστος.
Π.χ. μισθωτός με ετήσιο εισόδημα 9.000 ευρώ και δύο παιδιά, ο οποίος σήμερα δεν πληρώνει φόρο εισοδήματος, επειδή το αφορολόγητο που ισχύει γι’ αυτόν είναι 9.091 ευρώ, από το 2019 με τη μείωση του αφορολογήτου στα 6.136,36 ευρώ θα πληρώνει φόρο εισοδήματος 630 ευρώ.
Επίσης, συνταξιούχος χωρίς εξαρτώμενα τέκνα και ετήσιο εισόδημα 10.000 ευρώ, ο οποίος σήμερα δικαιούται αφορολόγητο όριο 8.636 ευρώ και πληρώνει φόρο εισοδήματος 300 ευρώ, από το 2019 με τη μείωση του αφορολογήτου στα 5.681 ευρώ θα πληρώνει φόρο 950 ευρώ, δηλαδή επιπλέον 650 ευρώ.
* Περίπου 1,5 εκατομμύριο μισθωτοί, συνταξιούχοι και κατ’ επάγγελμα αγρότες με ετήσια δηλούμενα εισοδήματα χαμηλότερα των νέων μειωμένων αφορολογήτων ορίων των 5.681-6.591 ευρώ θα υποστούν κι αυτοί επιβαρύνσεις, λόγω προσδιορισμού των τελικών φορολογητέων εισοδημάτων τους με βάση τα τεκμήρια διαβίωσης σε επίπεδα υψηλότερα των 6.000-7.000 ευρώ, όπου πλέον επιβάλλεται φόρος εισοδήματος. Π.χ. άγαμος μισθωτός εργαζόμενος με μηνιαίο εισόδημα 300 ευρώ, δηλαδή με ετήσιο εισόδημα μόλις 3.600 ευρώ που διαμένει σε διαμέρισμα 80 τ.μ. θα φορολογείται βάσει τεκμηρίων διαβίωσης για εισόδημα 6.200 ευρώ (3.000 ευρώ ελάχιστο τεκμήριο + 3.200 ευρώ τεκμήριο κύριας κατοικίας) και θα πληρώνει φόρο εισοδήματος 114 ευρώ.
ΤΑ ΙΣΧΥΟΝΤΑ ΚΑΙ ΤΑ ΝΕΑ ΑΦΟΡΟΛΟΓΗΤΑ ΟΡΙΑ ΕΙΣΟΔΗΜΑΤΟΣ
ΓΙΑ ΤΟΥΣ ΜΙΣΘΩΤΟΥΣ, ΤΟΥΣ ΣΥΝΤΑΞΙΟΥΧΟΥΣ ΚΑΙ ΤΟΥΣ ΚΑΤ’ ΕΠΑΓΓΕΛΜΑ ΑΓΡΟΤΕΣ
(*) Εφόσον το ΔΝΤ και οι Ευρωπαϊκοί “θεσμοί” εκτιμήσουν την ερχόμενη άνοιξη ότι ο κρατικός προϋπολογισμός του 2018 έχει εκτροχιαστεί ανεπανόρθωτα.
Πηγή: enikonomia.gr