Airbnb: Αλλάζει το τοπίο στη βραχυχρόνια μίσθωση

Στον κορεσμό των βραχυχρόνιων μισθώσεων που είχε ήδη ξεκινήσει από το 2019, ήρθε να προστεθεί και η κρίση που προκάλεσε η πανδημία του νέου κορονοϊού, δίνοντας την χαριστική βολή.

Αν και η οικονομία διαμοιρασμού τα τελευταία τρία χρόνια ενίσχυσε την ελληνική οικονομία μέσω των εισπραχθέντων φόρων, η εικόνα έχει πλέον αλλάξει πολύ. Η ελληνική οικονομία ενισχύθηκε με περισσότερα από 444 εκατ. ευρώ και συγκεκριμένα 68 εκατ. ευρώ το 2017, 176 εκατ. ευρώ το 2018 και περίπου 200 εκατ. ευρώ το 2019. Ο τζίρος της οικονομίας διαμοιρασμού για την ελληνική οικονομία από τον Ιούνιο του 2018 έως τον Μάιο του 2019, άγγιξε τα 1,15 δισ. ευρώ. Ο φετινός απολογισμός αναμένεται να είναι εντυπωσιακά χαμηλότερος.

Πλέον, σύμφωνα με τα τελευταία στοιχεία της AirDNA οι συνολικές καταχωρήσεις ακίνητων σε πλατφόρμες βραχυχρόνιας μίσθωσης στην Αθήνα έχουν μειωθεί σε ποσοστό πάνω από 30%, ενώ τα εισοδήματα καταγράφουν μειώσεις ακόμη και 80%.

Όπως περιγράφει στο ΑΠΕ-ΜΠΕ ο Θεμιστοκλής Μπάκας, πρόεδρος του Πανελλαδικού Δικτύου Κτηματομεσιτών E-Real Estates, ως αποτέλεσμα, πολλοί ιδιοκτήτες ξεκίνησαν ακόμα και πριν από την έναρξη της πανδημίας να επιστρέφουν στις συμβατικές μακροχρόνιες μισθώσεις των καταλυμάτων τους.

«Ήδη, από τον Σεπτέμβριο – Οκτώβριο του 2019, πολλοί ιδιοκτήτες μετά το πέρας της καλοκαιρινής σεζόν, αποφάσισαν μετά τη ραγδαία μείωση των εισοδημάτων τους (συνολική μείωση ακόμη και 30% -35%), να επιστρέψουν στη μακροχρόνια – παραδοσιακή μίσθωση. Αρχικά, επέστρεψαν οι ιδιοκτήτες ακινήτων σε περιοχές όπως τα Εξάρχεια και το Παγκράτι, περιοχές που το μέσο κόστος ημερήσιας διαμονής και οι πληρότητες είχαν υποχωρήσει πάρα πολύ σε σχέση με τις καλές εποχές των 53 ευρώ και 49 ευρώ αντίστοιχα», τονίζει ο κ. Μπάκας και προσθέτει: «Μη ξεχνάμε ότι, στη περιοχή των Εξαρχείων είχαν αγοραστεί μέσω δανεισμού, ολόκληρα κτίρια που είχαν ανακαινιστεί και διαρρυθμιστεί σε κατοικίες κατάλληλες για βραχυχρόνιες μισθώσεις. Οι ιδιοκτήτες των παραπάνω ακινήτων, διακρίνοντας τη συνεχόμενη μείωση των εισοδημάτων τους, τον ξέφρενο ανταγωνισμό της χαμηλής ημερήσιας διαμονής και ταυτόχρονα, την αυξανόμενη ζήτηση για μακροχρόνιες μισθώσεις, επέλεξαν να διαθέσουν τα ακίνητα τους με στόχο το μηνιαίο εισόδημα σε μια χρονική στιγμή που τα ενοίκια είχαν ήδη χτυπήσει κόκκινο ιδιαίτερα στο κέντρο της Αθήνας».

Το αποφασιστικό «χτύπημα» από την πανδημία

Οι απομείναντες ιδιοκτήτες ακινήτων εγγεγραμμένων σε πλατφόρμες βραχυχρόνιας μίσθωσης, δέχτηκαν την «χαριστική βολή» αρχές Φεβρουαρίου του 2020 με τα πρώτα κρούσματα στην Κίνα που αποτελούσαν και το μεγαλύτερο ποσοστό επισκεπτών τους. Οι ακυρώσεις από Κινέζους και Ινδούς, χτύπησαν κόκκινο. Παράλληλα, όταν ανακοινώθηκαν και τα πρώτα κρούσματα σε ευρωπαϊκές χώρες και όλοι άρχισαν να μιλάνε για πανδημία, αποτέλεσε τη χρονική στιγμή που το μέλλον θα καταγραφόταν δυσοίωνο για τον κλάδο της οικονομίας διαμοιρασμού, δείχνουν τα στοιχεία του Πανελλαδικού Δικτύου Κτηματομεσιτών E-Real Estates.

«Όλοι οι ιδιοκτήτες ακινήτων εγγεγραμμένων σε πλατφόρμες βραχυχρόνιας μίσθωσης, προσπάθησαν εντός των καλοκαιρινών μηνών να κερδίσουν όσες περισσότερες πληρότητες μπορούσαν με σύμμαχο τη χαμηλή τιμή και την ευέλικτη πολιτική ακύρωσης (μη κλειδωμένες κρατήσεις), με στόχο να “μαζέψουν” τη χασούρα όσο μπορούσαν, πριν αποφασίσουν αν θα παραμείνουν ή όχι στην οικονομία διαμοιρασμού», λέει ο κ. Μπάκας. Και επισημαίνει ότι «παράλληλα, πολλοί ιδιοκτήτες ενεργών ακινήτων εγγεγραμμένα σε πλατφόρμες βραχυχρόνιας μίσθωσης διαβλέποντας τα αρνητικά δεδομένα της τουριστικής σεζόν, από τον Ιούνιου του 2020 είχαν εγγράψει – καταχωρήσει τα ακίνητα τους ταυτόχρονα και σε site αγγελιών διαθέτοντάς τα προς μίσθωση μεγαλύτερης διάρκειας, προσδοκώντας είτε το ακίνητο να μισθωθεί για μεγαλύτερη διάρκεια στο ζητούμενο μηνιαίο μίσθωμα, είτε να πραγματοποιηθεί κάποια ικανοποιητική εισοδηματικά κράτηση μέσω βραχυχρόνιας μίσθωσης».

Ωστόσο, όπως επισημαίνει στο ΑΠΕ-ΜΠΕ ο κ. Μπάκας, οι ζητούμενες τιμές μίσθωσης μεγαλύτερης διάρκειας για επιπλωμένα – πλήρως ανακαινισμένα ακίνητα, ήταν αρκετά υψηλές ακόμη και αν συμπεριλάμβαναν το κόστος των κοινοχρήστων και internet. Παράλληλα, διέθεταν το ακίνητο τους για χρονικά διαστήματα 5-6 μηνών έως και 1 έτος, χρονικά διαστήματα που δεν σχετίζονται με τις συμβατικές – μακροχρόνιες μισθώσεις και με τον τρόπο αυτό δεν αποτελούσαν ελκυστικές προτάσεις για τους επίδοξους ενοικιαστές.

«Κατ’ ουσίαν, επιθυμούσαν να διατηρήσουν στάση αναμονής για την επιστροφή τους στις βραχυχρόνιες μισθώσεις αν άλλαζαν τα δεδομένα. Ταυτόχρονα, το μεγαλύτερο μέρος των ακινήτων διατίθενταν επιπλωμένα, που για έναν εργένη, νέο ζευγάρι ή/και φοιτητή που στόχευαν για ενοικιαστή, η μίσθωση επιπλωμένου ακινήτου δεν εξυπηρετεί πάντα. Ο λόγος που οι ιδιοκτήτες ακινήτων βραχυχρόνιας μίσθωσης τα διέθεταν επιπλωμένα είναι το γεγονός ότι, σε αντίθετη περίπτωση θα έπρεπε να μισθώσουν αποθήκη για την φύλαξη του εξοπλισμού και της επίπλωσης, άρα, ένα επιπλέον μηνιαίο κόστος που θα πρέπει να επιβαρυνθούν. Ενώ, μισθώνοντας τα επιπλωμένα, μπορούσαν να ζητήσουν υψηλότερο μηνιαίο μίσθωμα και παράλληλα να μην επιβαρυνθούν οι ίδιοι με κόστη φύλαξης», παρατηρεί ο Θεμιστοκλής Μπάκας.

Ταυτόχρονα, θέλοντας να αποκομίζουν τα ίδια έσοδα με αυτά της βραχυχρόνιας μίσθωσης, ζητούσαν πολύ υψηλά μισθώματα με αποτέλεσμα και πάλι να μην προσελκύουν ενοικιαστές σε ικανοποιητικό βαθμό.

«Οι ιδιοκτήτες των ακινήτων, δεν ήθελαν – δεν μπορούσαν να συνειδητοποιήσουν τη διαφορά μεταξύ των δυο ειδών μίσθωσης, η βραχυχρόνια μίσθωση «απαιτεί» την ενεργή συμμετοχή του ιδιοκτήτη – την προσωπική του εργασία (καθαρισμός του ακινήτου, πετσέτες, σεντόνια, διάφορες εργασίες στο ακίνητο, διαδικασία άφιξης και αναχώρησης του εκάστοτε επισκέπτη), σε αντίθεση με τις παραδοσιακές μισθώσεις που το μηνιαίο μίσθωμα αποτελεί πραγματικό έσοδο χωρίς προσωπική εργασία και μηνιαία λειτουργικά έξοδα (internet, κοινόχρηστα, ρεύμα, νερό κλπ )», επισημαίνει ο πρόεδρος του Πανελλαδικού Δικτύου Κτηματομεσιτών E-Real Estates

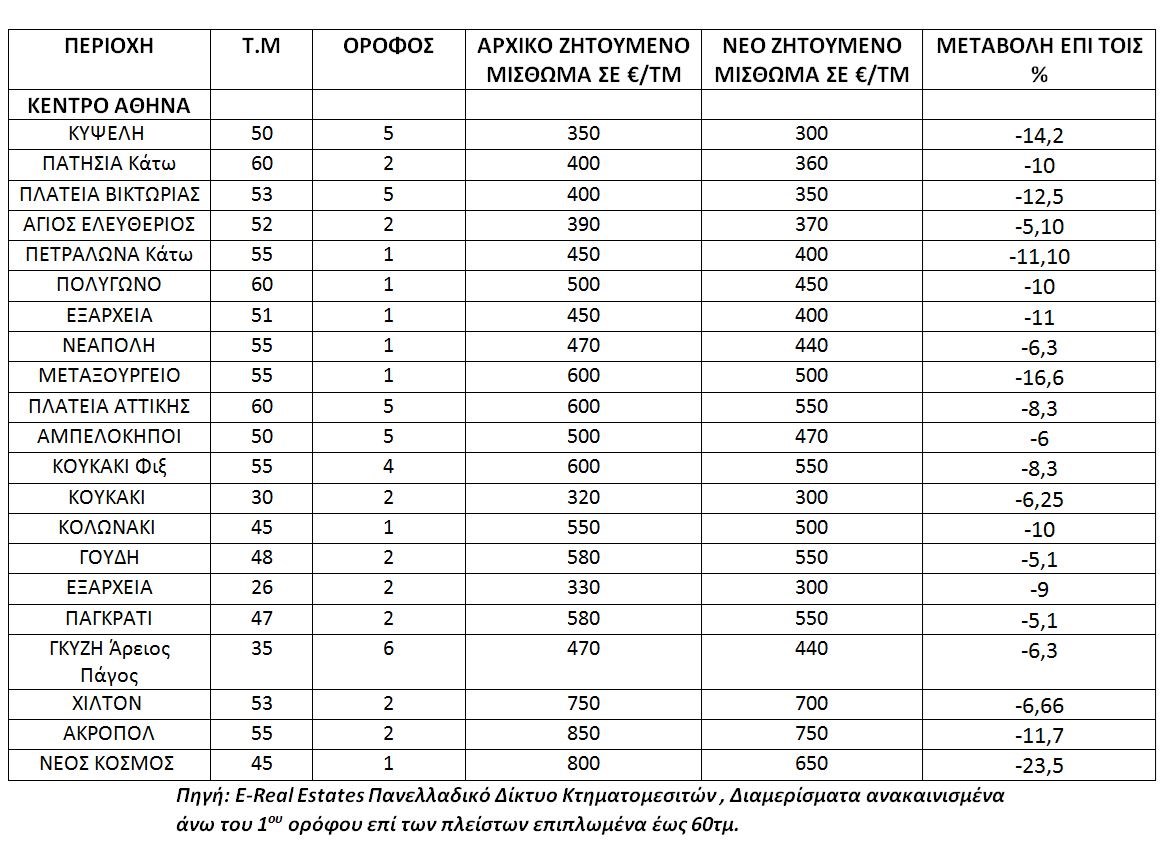
Οι ζητούμενες τιμές μίσθωσης τον Αύγουστο 2020

Ένα μεγάλο μέρος των ιδιοκτητών αντιλαμβανόμενοι ότι οι αρχικές ζητούμενες προϋποθέσεις μίσθωσης του ακινήτου τους (ύψος μηνιαίου μισθώματος, διάρκεια μίσθωσης) δεν είχαν τελικά την επιθυμητή ανταπόκριση από τους ενοικιαστές μακροχρόνιας μίσθωσης, σε συνάρτηση με τα μηδενικά εισοδήματα όλο αυτό τον καιρό, προέβησαν αυτοβούλως σε μειώσεις των ζητούμενων μηνιαίων μισθωμάτων και ταυτόχρονα αύξησαν την διάρκεια μίσθωσης στα 3 έτη που αποτελεί νομοθετικά και τη μικρότερη διάρκεια οικιστικής μίσθωσης.

«Αξίζει να αναφέρουμε ότι σε πολλές περιπτώσεις-περιοχές του πίνακα, οι αρχικές ζητούμενες τιμές μίσθωσης ακόμη και σήμερα μετά τη μείωση των ζητούμενων τιμών μίσθωσης, αντιστοιχούν στο μηνιαίο έσοδο του εκάστοτε ιδιοκτήτη μέσω βραχυχρόνιας μίσθωσης», λέει στο ΑΠΕ-ΜΠΕ ο κ. Μπάκας.

Γενικότερα, οι μειώσεις που καταγράφονται στις περιοχές του κέντρου της Αθήνας κυμαίνονται από 5% έως και 23,5%.

Η μεγαλύτερη μείωση στις περιοχές του κέντρου των Αθηνών καταγράφεται στη περιοχή του Ν. Κόσμου, η αρχική ζητούμενη τιμή τον Ιούνιο μήνα για διαμέρισμα 45τμ 1ου ορόφου ανερχόταν στα 800 ευρώ/μήνα και πλέον έχει μειωθεί στα 650 ευρώ/μήνα, με τη μείωση να διαμορφώνεται στο 23,5%. «Ακόμη και μετά τη μείωση 23,5% της ζητούμενης τιμής προ 2 μηνών, το ζητούμενο μίσθωμα παραμένει απλησίαστο και μη λογικό για το συγκεκριμένο ακίνητο», σχολιάζει ο κ. Μπάκας.

Η μείωση των ζητούμενων τιμών μίσθωσης στα νότια προάστια κυμαίνεται από 5% έως και 25%. Η μεγαλύτερη μείωση κατά 25% καταγράφεται στη Γλυφάδα στη περιοχή του Γκολφ, όπου τον Ιούνιο μήνα η αρχική ζητούμενη τιμή μίσθωσης για διαμέρισμα 60τμ 2ου ορόφου ανερχόταν στα 1.200 ευρώ/μήνα και πλέον διαμορφώνεται στα 900 ευρώ/μήνα.

Στο κέντρο της Γλυφάδας η αρχική ζητούμενη τιμή τον Ιούνιο μήνα για διαμέρισμα 60τμ 3ου ορόφου ήταν 750 ευρώ/μήνα και πλέον η ζητούμενη τιμή έχει διαμορφωθεί στα 650 ευρώ/μήνα, μείωση 13,3%.

Στο Π. Φάληρο στη περιοχή του Φλοίσβου, η αρχική ζητούμενη τιμή τον Ιούνιο μήνα για διαμέρισμα 58τμ 4ου ορόφου ανερχόταν στα 650 ευρώ/μήνα και πλέον έχει μειωθεί στα 540 ευρώ/μήνα, με τη μείωση να διαμορφώνεται στο 16,9% και το κόστος μηνιαίο κόστος μίσθωσης ανά τετραγωνικό μέτρο στα 10,7 ευρώ.

«Θεωρούμε ότι οι ιδιοκτήτες αν πραγματικά επιθυμούν να επιστρέψουν στις μακροχρόνιες – παραδοσιακές μισθώσεις, μισθώνοντας το ακίνητό τους και όχι να παραμείνει ξενοίκιαστο ή/και να μην εισπράττουν το μηνιαίο τους μίσθωμα (ραγδαία αύξηση στη μη καταβολή των ενοικίων), θα πρέπει να εξετάσουν από την αρχή τις ζητούμενες τιμές ενοικίασης ιδιαίτερα όταν στοχεύουν να το εκμισθώσουν σε φοιτητή εν μέσω των σημερινών δεδομένων, όπου, οι γονείς δεν προβαίνουν σε μίσθωση φοιτητικής στέγης πρόωρα όπως τα προηγούμενα χρόνια, κρατώντας ουσιαστικά στάση αναμονής λόγω ενδεχόμενου νέου κύκλου της πανδημίας του κορονοϊού», καταλήγει ο κ. Μπάκας.

ΣΥΓΚΡΙΤΙΚΟΣ ΠΙΝΑΚΑΣ ΙΟΥΝΙΟΣ-ΑΥΓΟΥΣΤΟΣ ΑΚΙΝΗΤΑ ΕΩΣ 60ΤΜ – AIRBNB

Μοιράσου το:

σχολίασε κι εσύ

ENIKOS NETWORK