Έξτρα φόρους για τους μισθωτούς και συνταξιούχους με χαμηλά και μικρομεσαία εισοδήματα που έχουν έως 2 παιδιά, φοροελαφρύνσεις για τους έχοντες μεσαία εισοδήματα από 28.000 έως 40.000 ευρώ, αλλά και επιβαρύνσεις για τις μικρομεσαίες προσωπικές εταιρείες, φέρνουν οι αλλαγές που έγιναν την τελευταία στιγμή στο ασφαλιστικό και φορολογικό νομοσχέδιο.
Το έμμεσο αφορολόγητο όριο για τους μισθωτούς και συνταξιούχους είναι συνάρτηση με τον αριθμό των προστατευόμενων παιδιών του φορολογούμενου και από τις 9.545 ευρώ που είναι σήμερα διαμορφώνεται:
στις 8.636 ευρώ για φορολογούμενους χωρίς παιδιά,
στις 8.864 ευρώ για όσους έχουν ένα προστατευόμενο παιδί και
στις 9.090 ευρώ (όπως ήδη οριζόταν στο νομοσχέδιο) για τους μισθωτούς και τους συνταξιούχους με δύο προστατευόμενα τέκνα.
Για τους μισθωτούς και τους συνταξιούχους με τρία η περισσότερα προστατευόμενα τέκνα η τροπολογία προβλέπει την διατήρηση του αφορολογήτου ορίου στα 9.545 ευρώ.
Πιο συγκεκριμένα με βάση την τροπολογία που κατέθεσε στη Βουλή ο κ. Τσακαλώτος, η ετήσια έκπτωση φόρου, η οποία ανέρχεται σήμερα στις 2.100 ευρώ για όλους ανεξαιρέτως τους μισθωτούς και τους συνταξιούχους, μειώνεται:
στα 1.900 ευρώ για όσους μισθωτούς και συνταξιούχους δεν έχουν παιδιά
στα 1.950 ευρώ για όσους μισθωτούς και συνταξιούχους έχουν ένα προστατευόμενο παιδί
στις 2.000 ευρώ για όσους μισθωτούς και συνταξιούχους έχουν δυο προστατευόμενα παιδιά.
Για όσους μισθωτούς και συνταξιούχους βαρύνονται με 3 ή περισσότερα παιδιά η ετήσια έκπτωση φόρου διατηρείται στα 2.100 ευρώ.
Τα ίδια ποσά της έκπτωσης φόρου ισχύουν και για τους αγρότες.
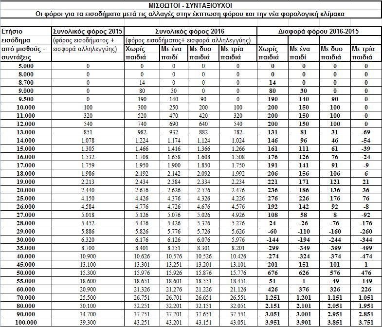
Με βάση τις νέες ρυθμίσεις:
Μισθωτοί-συνταξιούχοι χωρίς παιδιά:
– Με ετήσια εισοδήματα πάνω από 8.637 ευρώ και μέχρι 9.545 ευρώ θα κληθούν να πληρώσουν επιπλέον φόρο εισοδήματος έως και 200 ευρώ το χρόνο, ενώ σήμερα δεν πληρώνουν καθόλου φόρο.
– Με εισοδήματα άνω των 9.545 ευρώ και μέχρι 28.000 ευρώ θα κληθούν να πληρώσουν επιπλέον ποσά φόρου εισοδήματος και ειδικής εισφοράς αλληλεγγύης τα οποία θα κυμαίνονται από 24 έως και 276 ευρώ το χρόνο.
– Με εισοδήματα πάνω από 28.000 ευρώ και μέχρι 42.000 ευρώ θα δουν τις συνολικές επιβαρύνσεις τους (από τον φόρο εισοδήματος και την ειδική εισφορά αλληλεγγύης) να μειώνονται κατά 60 έως και 319 ευρώ το χρόνο.
– Με ετήσιες αποδοχές πάνω από 42.000 ευρώ θα υποστούν πρόσθετες επιβαρύνσεις.
Μισθωτοί-συνταξιούχοι με ένα παιδί:
– Με ετήσια εισοδήματα πάνω από 8.864 ευρώ και μέχρι 9.545 ευρώ θα πληρώσουν φόρο έως και 150 ευρώ το χρόνο, ενώ με την ισχύουσα φορολογική κλίμακα δεν πληρώνουν φόρο.
– Με ετήσια εισοδήματα άνω των 9.545 ευρώ και μέχρι 27.000 ευρώ θα κληθούν να πληρώσουν επιπλέον ποσά φόρου εισοδήματος και ειδικής εισφοράς αλληλεγγύης τα οποία θα κυμαίνονται από 58 έως και 226 ευρώ το χρόνο.
– Με εισοδήματα πάνω από 27.000 ευρώ και μέχρι 43.000 ευρώ θα δουν τις συνολικές επιβαρύνσεις τους να μειώνονται κατά 26 έως και 369 ευρώ το χρόνο.
– Με εισοδήματα πάνω από 43.000 ευρώ θα πληρώσουν περισσότερους φόρους.
Μισθωτοί-συνταξιούχοι με δύο παιδιά:
– Με ετήσια εισοδήματα πάνω από 9.090 ευρώ και μέχρι 9.545 ευρώ θα πληρώσουν φόρο έως και 100 ευρώ το χρόνο, ενώ σήμερα είναι αφορολόγητοι.
– Με ετήσια εισοδήματα άνω των 9.545 ευρώ και μέχρι 27.000 ευρώ θα κληθούν να πληρώσουν επιπλέον ποσά φόρου εισοδήματος και ειδικής εισφοράς αλληλεγγύης τα οποία θα κυμαίνονται από 8 έως και 176 ευρώ το χρόνο.
– Με εισοδήματα πάνω από 27.000 ευρώ και μέχρι 43.000 ευρώ θα δουν τις συνολικές επιβαρύνσεις τους να μειώνονται κατά 76 έως και 399 ευρώ το χρόνο.
– Με εισοδήματα πάνω από 40.000 ευρώ θα υποστούν πρόσθετες επιβαρύνσεις από 101 έως 3.851 ευρώ το χρόνο.
Μισθωτοί-συνταξιούχοι με τρία ή περισσότερα παιδιά:
– Με εισοδήματα άνω των 12.000 ευρώ και μέχρι 17.000 ευρώ θα δουν τις συνολικές φορολογικές επιβαρύνσεις τους να μειώνονται κατά 9 έως και 69 ευρώ το χρόνο.
– Με εισοδήματα πάνω από 17.000 ευρώ και μέχρι 25.000 ευρώ θα πληρώσουν πρόσθετο φόρο κατά 21 έως και 76 ευρώ το χρόνο.
– Με ετήσιες αποδοχές πάνω από 25.000 ευρώ και μέχρι 44.000 θα δουν τις συνολικές ετήσιες φορολογικές επιβαρύνσεις τους να μειώνονται από 8 έως και 519 ευρώ το χρόνο.
– Όσοι λαμβάνουν πάνω από 44.000 ευρώ το χρόνο θα υποστούν πρόσθετες επιβαρύνσεις.
Μικρομεσαίες επιχειρήσεις
Ο συντελεστής φορολόγησης που ισχύει για τα κέρδη των προσωπικών εταιριών (ομορρύθμων, ετερορρύθμων εταιρειών κ.λπ.), των συνεταιρισμών, των κοινωνιών αστικού δικαίου, των κοινοπραξιών κ.λ.π. που τηρούν απλογραφικά βιβλία αυξάνεται από το 26% στο 29% για ετήσια κέρδη μέχρι 50.000 ευρώ, ενώ για το τμήμα των κερδών άνω των 50.000 ευρώ μειώνεται από το 33% στο 29%.
Ο πίνακας με τους νέους φόρους:


ΠΗΓΗ: imerisia.gr
Διαβάστε επίσης:
«Πολιτικά ανεκτή» λύση για τα προληπτικά μέτρα αναζητά η Αθήνα