Πού εντοπίζονται τα 13.429 νέα κρούσματα κορονοϊού – Ποιες περιοχές βρίσκονται στο “κόκκινο”

Ο ΕΟΔΥ ανακοίνωσε  13.429 νέα κρούσματα κορονοϊού το απόγευμα της Κυριακής. Τα 25 από αυτά είναι εισαγόμενα εκ των οποίων 20 εντοπίστηκαν κατόπιν ελέγχων στις πύλες εισόδου της χώρας.

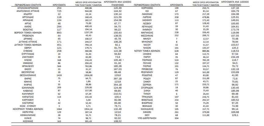
Στην Αττική το τελευταίο 24ωρο καταγράφηκαν 4.857 νέες μολύνσεις. Ακολουθούν η Θεσσαλονίκη με 1.439 νέα κρούσματα και το Ηράκλειο με 566.

Αναλυτικά η κατανομή των 13.404 νέων εγχώριων κρουσμάτων ανά Περιφερειακή Ενότητα:

Μοιράσου το:

σχολίασε κι εσύ

ENIKOS NETWORK