Τόσα θα παίρνει ο αρχηγός ΓΕΕΘΑ

Προσθέστε το enikos.gr στην Google

Τόσα θα παίρνει ο αρχηγός ΓΕΕΘΑ

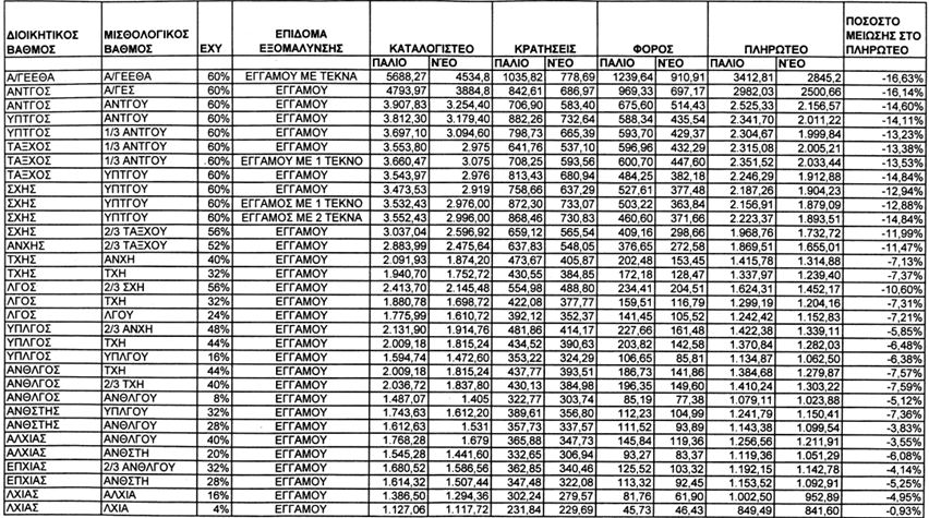
Μεγάλο ψαλίδι μπαίνει στους μισθούς των Ενόπλων δυνάμεων, σύμφωνα με σχετικό ενημερωτικό σημείωμα που απεστάλη αναφορικά με το πως διαμορφώνονται οι νέοι μισθοί. Έτσι ο μισθός του αρχηγού ΓΕΕΘΑ μειώνεται έως και 16,63%, ενός ταξίαρχου έως και 13,38%, ενός λοχαγού έως και 10,60% και ενός λοχία έως και 4,95%.

 

Μοιράσου το:

Προσθέστε το enikos.gr στην Google
σχολίασε κι εσύ

ENIKOS NETWORK