Πού εντοπίζονται τα 8.403 νέα κρούσματα κορονοϊού – Οι “κόκκινες” περιοχές

Το τελευταίο 24ωρο επιβεβαιώθηκαν 8.403 νέα κρούσματα κορονοϊού, σύμφωνα με την ανακοίνωση του ΕΟΔΥ. 

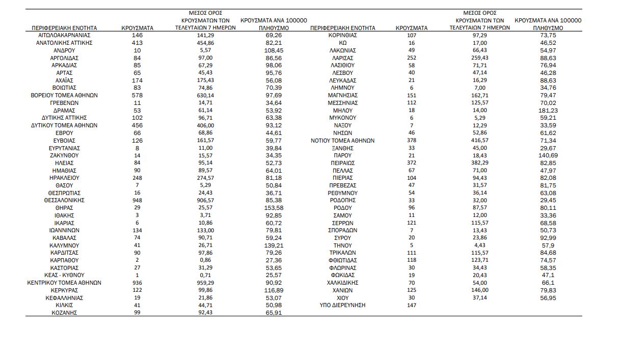
Στην Αττική εντοπίστηκαν 3.281 νέα κρούσματα και στη Θεσσαλονίκη 948.

Η κατανομή των 8.399 νέων εγχώριων κρουσμάτων ανά Περιφερειακή Ενότητα παρουσιάζεται στον παρακάτω πίνακα:

Μοιράσου το:

σχολίασε κι εσύ

ENIKOS NETWORK