Το Πόθεν Έσχες του Ευκλείδη Τσακαλώτου – Τι δήλωσε ο υπουργός Οικονομικών

Προσθέστε το enikos.gr στην Google

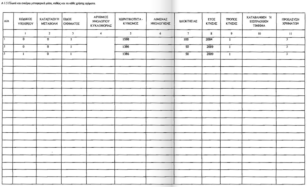
Δείτε το πόθεν έσχες του υπουργού Οικονομικών, Ευκλείδη Τσακαλώτου, όπως δόθηκε στη δημοσιότητα για το οικονομικό έτος 2013 (χρήση 2012).

Διαβάστε επίσης:

Δείτε εδώ όλα τα πόθεν έσχες της Βουλής

Μοιράσου το:

Προσθέστε το enikos.gr στην Google
σχολίασε κι εσύ

ENIKOS NETWORK