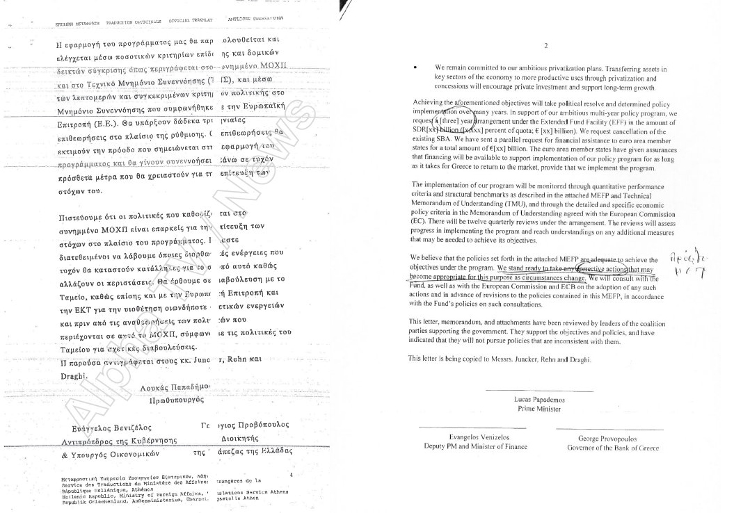
Μια ολόκληρη παράγραφος λείπει από την ελληνική εκδοχή της επιστολής προς την επικεφαλής του Διεθνούς Νομισματικού Ταμείου Κριστίν Λαγκάρντ. Πρόκειται όμως για την επίμαχη παράγραφο με την οποία ουσιαστικά ζητούνται οι διαβεβαιώσεις όλων των κομμάτων ότι θα στηρίξουν τα μέτρα.Στη δεύτερη σελίδα της επιστολής στα αγγλικά, που “υπογράφουν” ο πρωθυπουργός Λουκάς Παπαδήμος, ο υπουργός Οικονομικών Ευάγγελος Βενιζέλος και Διοικητής της Τράπεζας της Ελλάδας Γιώργος Προβόπουλος αυτή είναι η τελευταία παράγραφος:”This letter memorandum and attachments has been reviewed by leaders of the coalition parties supporting the government. They support the objectives and policies and have indicated that they will not pursue policies that are inconsistent with them”.Η μετάφραση είναι αυτή:“Αυτό το κείμενο του μνημονίου και τα συνημμένα έχουν αξιολογηθεί από τους ηγέτες των κομμάτων που υποστηρίζουν την κυβέρνηση. Υποστηρίζουν τους στόχους και τις πολιτικές και έχουν σημειώσει ότι δεν ακολουθήσουν πολιτικές που είναι διαφορετικές από αυτές”, γράφει το κείμενο που θα “δέσει” τους αρχηγούς των κομμάτων και όπως πληροφορούμαστε αποτελεί μέρος εγγράφο που προσομοιάζει με…συμβολαιογραφικό έντυπο.Μόνο που όπως βλέπετε και μόνοι στην επιστολή που είναι μεταφρασμένη στα ελληνικά, η παράγραφος αυτή λείπει…
σχολίασε κι εσύ
Ακολουθήστε το Enikos στο Google News και μάθετε πρώτοι όλες τις ειδήσεις
Δείτε όλες τις τελευταίες ειδήσεις από την Ελλάδα και τον Κόσμο στο enikos.gr
Ειδήσεις
Ροή Ειδήσεων
2 ώρες πριν
Reuters: Περιορισμένη η ζημιά στο πυρηνικό πρόγραμμα του Ιράν παρά τον πόλεμο – Οι νέες εκτιμήσεις των ΗΠΑ
12 λεπτά πριν
Νεκρός 47χρονος σε λεωφορείο που εκτελούσε το δρομολόγιο Αθήνα-Πάργα – Τον εντόπισε ο οδηγός
18 λεπτά πριν
Champions League: Περηφάνια και… προκατάληψη στις «μάχες» για τον τελικό της Βουδαπέστης
ENIKOS NETWORK
Επιστήμονες χαρτογραφούν για πρώτη φορά την εμμηνόπαυση – Πώς αλλάζουν τα όργανα στις γυναίκες;