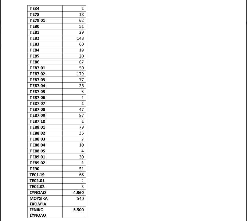
Τον καθορισμό των 11.700 θέσεων μονίμων εκπαιδευτικών Πρωτοβάθμιας και Δευτεροβάθμιας Γενικής Εκπαίδευσης κατά κλάδο, ειδικότητα και ειδίκευση, που διορίζονται κατά το τρέχον σχολικό έτος, ανακοίνωσε το υπουργείο Παιδείας.
Η κατανομή των εκπαιδευτικών που θα προσληφθούν άμεσα για το σχολικό έτος που αρχίζει το Σεπτέμβριο έχει ως εξής:

