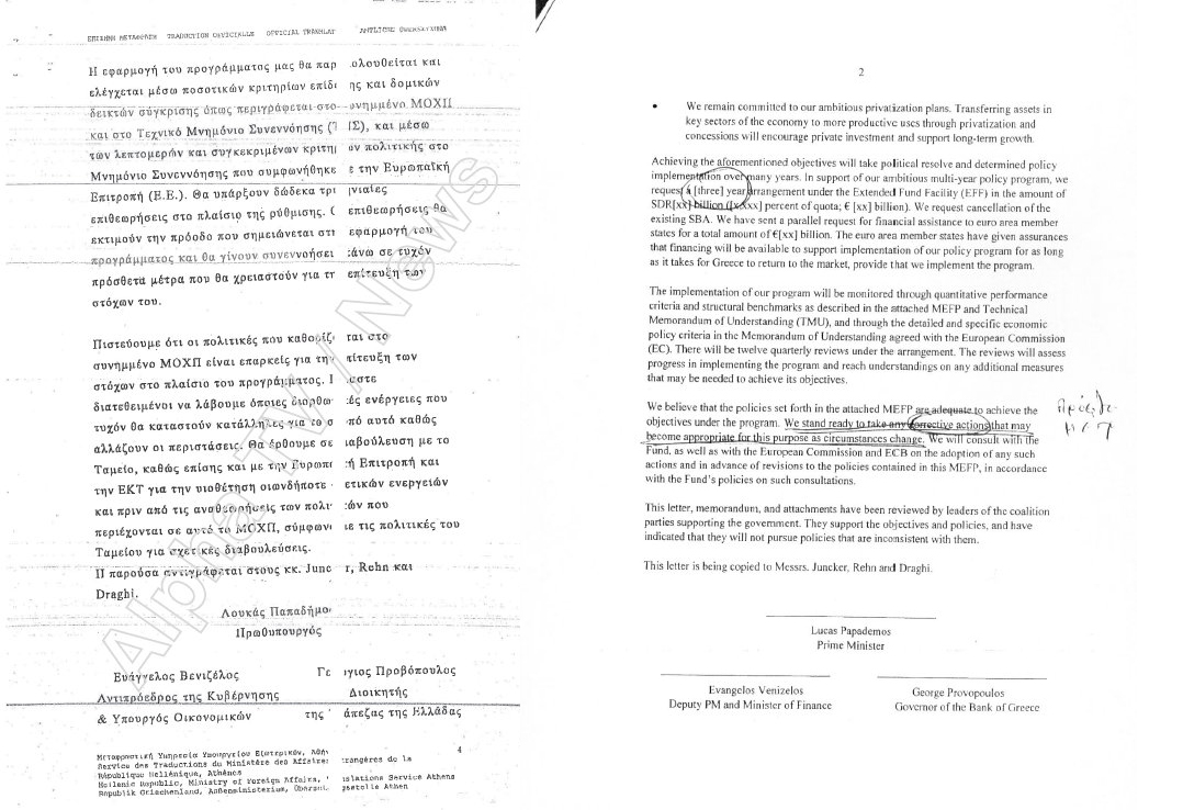
Καμπανάκι Βρυξελλών για την επομένη των εκλογών, αφού η κυβέρνηση που θα προκύψει από τις εκλογές, θα έχει μπροστά της λιγότερους από δύο μήνες, για να ικανοποιήσει τις δεσμεύσεις της χώρας.Δεσμεύσεις που έχει αναλάβει η χώρα στο πλαίσιο του Μνημονίου, προκειμένου να εισπράξει την επόμενη δόση του δανείου, που ανέρχεται στο ποσό των 29 δισ. ευρώ.
Οι Βρυξέλλες το χαβά τους
σχολίασε κι εσύ
Ακολουθήστε το Enikos στο Google News και μάθετε πρώτοι όλες τις ειδήσεις
Δείτε όλες τις τελευταίες ειδήσεις από την Ελλάδα και τον Κόσμο στο enikos.gr
Ειδήσεις
Ροή Ειδήσεων
2 ώρες πριν
Φρίκη για 6 παιδιά στο Περιστέρι: Ζούσαν σε άθλιες συνθήκες και ακαθαρσίες – Συνελήφθησαν οι γονείς τους
6 ώρες πριν
Η «Κυρία του Lexden» έρχεται στο φως: Μια σπάνια ρωμαϊκή ταφή ανακαλύφθηκε σε πρώην νοσοκομείο
5 ώρες πριν
Ανακάλυψε ότι οι γονείς της πήραν όλα τα χρήματά της – «Δεν μου άφησαν φράγκο από όσα έβγαλα»
ENIKOS NETWORK
Απώλεια βάρους: Ο κανόνας της πρωτεΐνης για να χάσετε εύκολα κιλά – Πώς να τον εφαρμόσετε